雙絲埋弧焊焊接參數與電弧能量特征神經網絡模型
一、關于BP神經網絡
BP神經網絡是一種單向傳播的多層前向網絡,網絡除輸入輸出結點外,還包括一層或多層隱含節點,同層內節點之間沒有任何聯系。輸入信號從輸入層節點依次傳過各隱含層節點,然后傳到輸出節點,每一層節點的輸出只影響到下一層節點的輸出。基本BP算法主要包括兩個過程:信號的前向傳播以及誤差的反向傳播。即由輸入通過BP網絡計算實際輸出是按前向進行,而修正權值和閾值的過程是按從輸出到輸入逆向進行。圖6-1為標準的三層BP神經網絡模型結構圖。

二、焊接參數與電弧能量特征神經網絡模型
BP神經網絡應用的關鍵在于網絡結構的選取與參數的設計,因此BP網絡的設計過程實際上是一個網絡參數不斷調整的過程。
1. 網絡輸入/輸出節點參數確定
輸入/輸出節點參數與樣本直接相關,因此只要樣本格式確定,則BP網絡的輸入/輸出節點參數可由樣本格式得到。在第5章所述埋弧焊電弧信息處理,以前后絲電弧電流信號的LMD能譜熵值作為表征電弧穩定性的特征量,因此取前后絲電流信號的LMD能譜熵值作為BP神經網絡的輸出。影響雙絲埋弧焊電弧穩定性的因素主要為電源特性及焊接參數的搭配等,而電源特性受電源本身設計制造過程影響,在出廠時已經基本確定。因此本章主要研究焊接參數的搭配對雙絲埋弧焊電弧穩定性的影響。在保持后絲電弧交流頻率和占空比以及焊絲直徑不變的情況下,主要考察前后絲電流、電壓的大小以及雙絲間距和焊接速度六個因子對焊接過程電弧穩定性和焊縫成形質量的影響規律。因此,取前后絲電流、電壓的大小以及雙絲間距和焊接速度等六組參數作為BP神經網絡的輸入。根據雙絲埋弧焊的常用焊接參數,設置前絲電流取值分別為550A、600A、650A、700A和750A;前絲電壓的取值分別為30V、32V、34V、36V和38V;后絲電流的取值分別為400A、450A、500A、550A和600A;后絲電壓的取值分別為34V、36V、38V、40V和42V;雙絲間距取值分別為15mm、20mm、25mm、30mm和35mm;焊接速度取值分別為60cm/min、80cm/min、100cm/min、120 cm/min和140 cm/min。在此基礎上固定后絲方波交流的頻率為80Hz,占空比為0.5,焊絲直徑為4mm,伸出長度為25mm,板厚為20mm以及其他條件保持不變的情況下,按照6因素5水平正交表
L25(56)組織工藝試驗,所得25組焊接參數搭配及其前后絲電流信號的LMD能譜熵作為BP神經網絡的訓練樣本。
為了讓BP網絡的預測結果更加合理,首先需要對輸入輸出樣本進行歸一化處理,即采用簡單線性變換的方式,使網絡的輸入輸出數據均處在[0,1]范圍之內。假設xmax和xmin是一組數據的最大值和最小值,則將這組數據進行歸一化的方法為
由于網絡輸出為電流信號的LMD能譜熵,其取值均在[0,2]之間,因此只需對網絡輸入樣本進行歸一化處理。
2. 隱含層及其節點數的確定
BP神經網絡所具有的最大的特點是非線性函數的擬合。由于BP神經網絡是通過網絡輸入到網絡輸出的計算來實現其非線性擬合功能的,所隱含層數的增多雖然可能會使預測結果更精確,但程序在實際應用中需要花費更長的運行時間。在隱含層數的確定上,有理論分析表明:隱含層數最多為兩層即可。具有單隱含層的BP神經網絡已經能夠實現所有連續函數的映射,只有在對不連續函數進行逼近時,才需要大于一個隱含層的神經網絡。所以本章采用輸入層-隱含層-輸出層三層的結構模式來進行BP神經網絡設計。
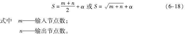
如何合理地選擇隱含層節點的數目是神經網絡設計過程中比較關鍵的問題,因為隱含層節點數直接關系到所設計網絡預測性能的好壞。關于如何選取合適的隱含層節點數目前并無嚴格的理論指導。對于隱含層節點數量如何確定的問題,有學者提出隱含層節點數應等于輸入與輸出節點數之和的二分之一或者二次根的大拇指規則:

另外關于隱含層節點的確定,有Komogorov定理指出:對于任意連續函數,可以由一個三層網絡來精確實現它,其中網絡輸入有m個節點,隱含層有2m+1個節點,輸出層有n個節點。但目前最常用的還是試驗嘗試法,即首先根據一定的規則確定隱含層節點的初始取值,然后在該初始值附近采用相同的樣本訓練具有不同隱含層節點數的網絡,直到網絡權值穩定不變為止。根據Komogorov定理,分別設置隱含層節點數為12、13、14來對網絡進行訓練,相應的誤差收斂曲線如圖6-2所示。從圖中對比可以看出,當隱含層節點數為13時網絡收斂速度最快。
圖6-2 不同隱含層節點下的網絡訓練誤差曲線
3. 初始權值和學習速率的選擇
在對網絡進行初始化時,需要給各連接權值、閾值設定一個初始值。權值的初始值設置是否合理直接影響所設計網絡能否最終達到設定的誤差范圍。如果權值初始值設置太高,會增加部分神經元的凈輸入,削弱了權值的調整作用。因此對于初始權值的選取,盡量使其在輸入累加時每個神經元的狀態接近于零,這樣可防止f(xi)在開始時落到曲線的平坦處而使其微商接近于零。而且研究表明,若權值的初始值相等,則在學習過程中它們將保持恒定,從而無法使網絡訓練誤差降到最小,所以權值的初始值不能全相同。設計的BP神經網絡初始權值取[-1,1]之間的隨機數,權值取值既小又各不相同,這樣可以保證每個神經元一開始都在它們轉換函數變化最大的地方進行。BP算法的有效性和收斂性在很大程度上取決于學習速率η的取值。η的最優值與具體問題相關,沒有對任何問題都適合的η值。為了避免網絡在訓練過程中陷入局部極小,設定訓練次數的上限為10000次,并確定訓練目標誤差為0.000001來進行網絡訓練。通過取不同的η參數值不斷地訓練網絡,當權值達到較穩定狀態后,發現學習速率初始值η=0.03時網絡學習效果最理想。
4. 焊接參數與電弧能量特征非線性映射模型
根據以上內容,設計雙絲埋弧焊焊接參數與電弧能量穩定性特征BP神經網絡非線性映射模型結構如圖6-3所示。其中e1、e1分別為前后絲電流信號對應的LMD能譜熵值
- 上一篇:美國1月ISM非制造業不及預期 2017/2/5
- 下一篇:6月2日廢不銹鋼行情早間導讀 2012/5/23
